Welcome to my homepage
Explore
Publications

2019

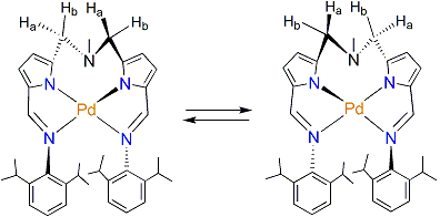
43. Subramaniyan, V.; Dutta, B.; Govindaraj, A.; Mani, G. “Facile synthesis of Pd(II) and Ni(II) pincer carbene complexes by the double C-H bond activation of a new hexahydropyrimidine-based bis(phosphine): catalysis of C-N couplings” Dalton Trans., 2019, Advance Article. DOI: 10.1039/C8DT03413C (invited article for the New Talent: Asia Pacific themed issue of Dalton Transactions).

42. Das, S.; Subramaniyan, V.; Mani, G.“Nickel(II) and Palladium(II) Complexes Bearing an Unsymmetrical Pyrrole-Based PNN Pincer and Their Norbornene Polymerization Behaviors versus the Symmetrical NNN and PNP Pincers.” Inorg. Chem., 2019, 58, 3444, doi.org/10.1016/j.ica.2018.05.004.

41. Subramaniyan, V.; Mani, G ”Homoleptic and Heteroleptic Copper(I) Complexes Bearing Diimine-Diphosphine Ligands, Chapter 8 in 'Copper(I) Chemistry of Phosphines, Functionalized Phosphines and Phosphorus Heterocycles'.” Edited by Balakrishna, M. S., Elsevier Publications, 2019, Under proof.

2018

40. Jana, O.;Mani, G “Enantiomers and Structural Isomers of Sodium and Palladium Complexes Bearing ortho-Bis(3,5-dimethylpyrazolylmethyl)phenolate: Fluxional Property and Highly Active Catalysts for Norbornene Polymerization” Inorganic Chemistry, 2018, 57, 7735-7747 DOI: 10.1021/acs.inorgchem.8b00744.

39. Kumar, S.; Jana, O.;Subramaniyan, V.; Mani, G “The 'Reverse Transmetalation' Reaction of the Pyrrole-Based PNP Pincer Ni(II) Complexes: X-ray Structures of Binuclear Silver(I) and Thiocyanate Nickel(II) Complexes” Inorganica Chimica Acta , 2018, 480, 113, doi.org/10.1016/j.ica.2018.05.004.

38. Subramaniyan, V.; Mani, G “Synthesis, Reactions, and Structures of Heterocycle-Tethered Boranes and Their Precursors” Organometallics 2018, 37, 127, DOI: 10.1021/acs.organomet.7b00766.

2017

37. Jana, O.; Mani, G “New types of Cu and Ag clusters supported by the pyrrole-based NNN-pincer type ligand” New J.Chem. 2017, 41, 9361.

36. Jha,V. K.; Mani, G.; Davuluri, Y. R;. Anoop, A “The pyrrole ring η2-hapticity bridged binuclear tricarbonyl Mo(0) and W(0) complexes: catalysis of regioselective hydroamination reactions and DFT calculations” Dalton Trans. 2017, 46, 1840.

2016

35. Guchhait, T.; Mani, G.; Schulzke, C “Synthesis and structural characterization of anion complexes with azacalix[2]dipyrrolylmethane: effect of anion charge on the conformation of the macrocycle” Dalton Trans. 2016, 45, 11781–11790.

34. Kumar, R.; Paul, T.; Jana, O.; Mani, G “Regioselective Mannich bases of pyrrole-2-carbaldehyde and binuclear copper(II) complexes of bis(iminopyrrolyl) ligand containing the piperazine ring” Inorg. Chim. Acta. 2016, 445, 70–78.

2015

33. S. Kumar, Mani, G “Synthesis and structural characterization of chromium(III) complexes bearing 3,5-dimethylpyrazolate ligand” Polyhedron 2015, 99, 47–52.

32. D. Jana, S. Das, Mani, G “Self assembled macrobicycle and tricycle cages containing pyrrole rings by dynamic covalent chemistry method” J. Incl. Phenom. Macrocycl. Chem. 2015, 82, 461–470.

31. T. Guchhait, B. Barua, A. Biswas, B. Basak, Mani, G “Synthesis and structural characterization of silver(I), copper(I) coordination polymers and a helicate palladium(II) complex of dipyrrolylmethane-based dipyrazole ligands: the effect of meso substituents on structural formation” Dalton Trans. 2015, 44, 9091–9102.

30. R. Kumar, Mani, G “Exhibition of the Bronsted acid–base character of a Schiff base in palladium(II) complex formation: lithium complexation, fluxional properties and catalysis of Suzuki reactions in water” Dalton Trans. 2015, 44, 6896–6908.

2014

29. D. Ghorai and Mani, G “Unsubstituted quinoidal pyrrole and its reaction with oxygen, charge transfer and palladium(II)complexes via DDQ oxidation” RSC Adv. 2014, 4, 45603–45611.

28. D. Ghorai and Mani, G “Single-Step Substitution of all the α,β-Positions in Pyrrole: Choice of Binuclear versus Multinuclear Complex of the Novel Polydentate Ligand” Inorg. Chem. 2014, 53, 4117–4129.

27. S. Kumar, Mani, G, D. Dutta, and S. Mishra “Structural Diversity of Copper(I) Complexes Formed by Pyrrole- and Dipyrrolylmethane-Based Diphosphine Ligands with CuX - HN Hydrogen Bonds” Inorg. Chem. 2014, 53, 700–709.

2013

26. Jana, D.; Mani, G.; Schulzke, C. “Synthesis of Novel Polyazacryptands for Recognition of Tetrahedral Oxoanions and Their X-ray Structures” Inorg. Chem. 2013, 52, 6427–6439.

25. Guchhait, T.; Jha, V. K.; Mani, G. “The syn and anti isomers of the porphyrinogen-like precursor of calix[4]phyrin: isolation, X-ray structure, anion binding and fluoride-ion-mediated proton–deuterium exchange studies” Org. Biomol. Chem. 2013, 11, 2818–2826.

PATENT

G. Mani, and S. Kumar, D. Ghorai, T. Guchhait, Pyrrole-based Diphosphines and their Oxidized Products, filed, 508/KOL/2013.

2012

24. Kumar, S.; Mani, G.; Mondal, S.; Chattaraj, P. K. “Pyrrole-Based New Diphosphines: Pd and Ni Complexes Bearing the PNP Pincer Ligand” Inorg. Chem. 2012, 51, 12527–12539.

23. Guchhait, T.; Mani, G.; Schulzke, C.;  Anoop, A. “ A Tripyrrolylmethane-Based Macrobicyclic Triazacryptand: X-ray Structure, Size-Selective Anion Binding, and Fluoride-Ion-Mediated Proton–Deuterium Exchange Studies’ Inorg. Chem. 2012, 51, 11635–11644.

22. Kumar. R, Guchhait. T, Mani, G. “Synthesis and X-ray Structures of Novel Macrocycles and Macrobicycles Containing N,N-Di(pyrrolylmethyl)-N-methylamine Moiety: Preliminary Anion Binding Study” Inorg. Chem. 2012, 51, 9029–9038.

21. Ghorai, D.; Kumar, S.; Mani, G. “Mononuclear, helical binuclear palladium and lithium complexes bearing a new pyrrole-based NNN-pincer ligand: fluxional property ” Dalton Trans. 2012, 41, 9503–9512.

2011

20. Guchhait, T.; Mani, G. “Dipyrrolylmethane-based Macrobicyclic Azacryptand: Synthesis, X-ray Structures, Conformational and Anion Binding Properties” J. Org. Chem. 2011, 76, 10114–10121.

19. Ghorai, D.; Mani, G. “Synthesis and structural characterization of Pd(II) complexes containing 2,6-bis[(dimethylamino)methyl]-4-methylphenolate ligand” Inorg. Chim. Acta. 2011, 372, 412–416.

2010

18. Mani, G.; Guchhait, T.; Kumar, R.; Kumar, S. “Macrocyclic and Acyclic Molecules Synthesized from Dipyrrolylmethanes: Receptors for Anions” Org. Lett. 2010, 12, 3910–3213.

17. Mani, G.; Jana, D.; Kumar, R.; Ghorai, D. “Azatripyrrolic and Azatetrapyrrolic Macrocycles from the Mannich Reaction of Pyrrole: Receptors for Anions” Org. Lett. 2010, 12, 3212–3215.

1998-2007

16. Mani, G.; Freemantle, R. G.; Obare, S. O. “Monodisperse Thioether- Stabilized Palladium Nanoparticles: Synthesis, Characterization, and Reactivity” Chem. Mater. 2007, 19, 3464–3471.

15. Mani, G.; Gabbai, F. P. “Synthesis, structure and catalytic properties of [Cp*Cr(C6F5)(Bn)(THF)] toward ethylene in the presence of AlEt3” J. Organomet. Chem. 2005, 690, 5145–5149.

14. Mani, G.; Krishnamurthy S. S.; Nethaji M.; “Di- and tri-nuclear molybdenum–palladium complexes bearing strong π-acceptor “P–N–P” ligands, MeN{P(OR)2}2 (R = CH2CF3 or Ph)” J. Organomet. Chem. 2005, 690, 1080–1091.

13. Mani, G.; Gabbai, F. P. “[Cp*Cr(C6F5)(Me)(Py)] as a Living Chromium(III) Catalyst for the "Aufbaureaktion"” Organometallics 2004, 23, 4608–4613.

12. Mani, G.; Gabbaï, F. P. “A neutral chromium(III) catalyst for the living “Aufbaureaktion”” Angew. Chem., Int. Ed. Engl. 2004, 43, 2263–2266.

11. Mani, G.; Fanwick, P. E.; Walton, R A. “The synthesis of the triply bonded tetramethyl complex Re2(CH3)4(m-dppm)2 and its reaction with CO to afford Re2(m-CH2)2(CO)4(m-dppm)2” J. Organomet. Chem. 2003, 671, 166–171.

10Mani, G.; Fanwick, P. E.; Walton, R. A. “Reaction of the bis(iminophosphoranyl)methane ligand CH2(Ph2P=NsiMe3) with nickel(II) halides and the structural characterization of ligand fragmentation products” Inorg. Chim. Acta. 2003, 346, 181–186.

9. Mani, G.; Shih, K. Y.; Fanwick, P. E.; Walton, R. A. “Complexation of the triply-bonded dirhenium(II) complex Re2Cl4(m-dppm)2 (dppm = Ph2PCH2PPh2) by up to three acetylene molecules” Inorg. Chem. 2003, 42, 1241–1247.

8. Mani, G.; Fanwick, P. E.; Walton, R. A. “The synthesis and structural characterization of the m-sulfur dioxide complex Re2(m-SO2)(m-Cl)Cl4(m-dppm)2” Inorg. Chim. Acta. 2003, 343, 391–394.

7. Mani, G.; Fanwick P. E.; Walton R. A. “A Novel Example of the Reductive Cyclization of a Diyne at a Re-Re Triple Bond: The Reaction of Re2Cl4(m-dppm)2 with 1,7-Octadiyne” Organometallics 2003, 22, 870–872.

6. Mani, G.; Kapoor P. N.; Fanwick P. E.; Walton R. A. “The first examples of triply bonded dirhenium(II) complexes that contain b-diketonate ligands” Inorg. Chem. Commun. 2002, 5, 1073–1077.

5. Mani, G.; Bérubé, C. D.; Gambarotta S.; Yap, G. P. A “Synthesis of Samarium and Ytterbium Complexes with 2,5-Dimethylpyrrole: The Effect of the Alkali Cation on the Bonding Mode of Divalent Lanthanide Centres” Organometallics 2002, 21, 1707–1713.

4. Mani, G.; Lalonde, M. P.; Gambarotta, S.; Yap, G. P. A. “Isolation and Characterization of Linear Polymeric {[1,1-H10C6(a-C4H3N)2]2Sm[Na(THF)]2}n: A 30-Electron Species with a (h5-Cp)4Ln Type Structure” Organometallics 2001, 20, 2443–2445.

3. Mani, G; Gambarotta, S.; Yap, G. P. A. “Highly Reactive Sm(II) Macrocyclic Clusters: Precursors to N2 Reduction” Angew. Chem., Int. Ed. 2001, 40, 766–769.

2. Dube, T.; Mani, G.; Conoci, S.; Gambarotta, S.; Yap, G. P. A. “Tetrametallic Divalent Samarium Cluster Hydride and Dinitrogen Complexes” Organometallics 2000, 18, 3716–3721.

1. Mani, G.; Krishnamurthy, S. S.; Nethaji, M. “Reductive carbonylation route to Co(0) and Co(I) carbonyl complexes containing bridging, chelating and cleaved diphosphazanes. Structures of [Co(CO){P(OR)2(NHMe)}2{P(O)(OR)2}{P(H)(OR)2}] (R = CH2CF3, R = CH2CH3), [Co2(CO)2{m-MeN{P(OR)2}2}3] (R = CH2CF3), and [Co(CO){h2-MeN{P(OR)2}2}2][CoCl3(OC4H8)] (R = Ph)” J. Organomet. Chem. 1998, 570, 247–254.

PATENT

Gabbai, F.P.; Mani, G; Pope, D.S.; Brown, J.D.; Wharry, D.L.; Hulburt, P.K. Catalyst composition, method of making same and its use in olefin oligomerization or polymerization. US 6833464 B2, 2004.

IITKGP
© All rights reserved, Department of Chemistry, IIT Kharagpur